Dear Friend ,
It is very important to design a boiler correctly , as they can blast , if you are not design the boiler wall thickness correctly. So I will explain the theory behind the boiler design.

- stress.JPG (5.99 KiB) Viewed 13160 times
If you consider any small square in boiler surface , two type of stresses are acting on it as shown in the above figure.
(1) Longitudinal stress ( Sigma_L) (2) Hoop Stress ( Sigma_H).
So all the parts of the boiler wall are in equilibrium under the forces , which are creating from the above two stresses.
So basic principal behind boiler design is the permissible stress of the material , you are going to select for fabricate the boiler must be higher than those Longitudinal and Hoop Stresses. ( For any Pressure).
So first we have to calculate the Longitudinal and Hoop Stresses for given Pressure , Given thinkness and Given Radius.
Longitudinal Stress Calculation

- long_stress.JPG (10.65 KiB) Viewed 13160 times
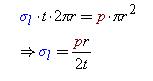
From Newton's first law of motion

- long_equation.JPG (2.68 KiB) Viewed 13160 times
Hoop Stress Calculation

- hoop.JPG (14.28 KiB) Viewed 13160 times
The free body is in static equilibrium. According to Newton's first law of motion, the hoop stress can be calculated as

- hoop_equation.JPG (2.93 KiB) Viewed 13160 times
So according to two equations , we can say
Hoop Stress = Longitudinal Stress * 2
So if you desingn the boiler for Hoop Stress , It will never fail with the Longitudinal Stress .
Boiler Thinkness Calculation
In Hoop Stress equation apply the values for P (maxium pressure which Boiler is designed) , r (Radius of the Boiler) and
Sigma_H ( Permissible stress of the material you select to fabricate the Boiler) and find the value for t ( Boiler Wall Thickness).
So thickness of the sheet metal you select to fabricate the Boiler should be higher than this calculated thickness value.
If you design the Boiler by selecting the thickness of the material as describe above , Boiler is safe up to design Pressure.
Three Welding Joints of the Boiler
Any boiler should consisting of atleast three welding joints. One is in Longitudinal direction and other two are for
two end plates. So permissible stresses of those welding joints also should higher than the Hoop Stress.
Note :
Always put some safety margin for the calculated values.
Any problem , please let us know
Good Luck !