First one
Here A is defined as all numbers x and y such that x^2+y^2=17. Also it is given that x and y are natural numbers, which means that x and y can only be numbers from zero to positive infinity(remember that infinity is not a number).
Notice that x and y are in ordered pairs (x,y). So (x,y) and (y,x) are two different elements of the set. That is (x,y)=(y,x) if and only if x=y.
For and example 1^2+4^2=17. Hence x=1 and y=4 . So you can get two elements easily which are (1,4) and (4,1).
Then we can write A={(1,4),(4,1)} intersection {rest of the elements of A}
Try to find the rest of the elements and the answer for the first question. i hope that thing are clear and any corrections are welcome.
I will try answering the rest soon. Now I am at the boarding. Although I have brought my notebook, internet access is a problem.
Herath wrote:First one
Try to find the rest of the elements and the answer for the first question.
Here is the Rest. I could only Find
(4,1),(1,4)

Just another addition to Herath's explanation on question 1...
There are two sets...
A = {(x,y)| x,y ?N and x
2 + y
2 = 17}
B = {(x,y)| x,y ?N and x + y = 5}
So the question is to find A ? B which is read as A intersection B,
Let's name a new set C where C = A ? B.
Based on the above definition for A and B, we can define C as below.
C = {(x,y)| x,y ?N and x
2 + y
2 = 17
AND x + y = 5}
Notice the 'AND' I put to denote the intersection. If it was ? (Union) I would put OR instead of AND.
Okay. Now, we can solve the equation.
x + y = 5
y = (5 - x) ------[EQ1]
Now we are going to substitute y to the other equation.
x
2 + (5 - x)
2 = 17
x
2 + 25 - 10x + x
2 = 17
2x
2 - 10x + 25 = 17
2x
2 - 10x + 8 = 0
x
2 - 5x + 4 = 0 -------------[EQ2]
This is in the form of a quadratic equation.
ax
2 + bx + c = 0
In our equation,
a = 1
b = -5
c = 4
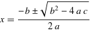
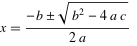
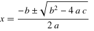
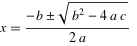
We can take the value of x when our equation is in the form of quadratic equation using
quadratic formula as given below.

- quadeq.PNG (1.7 KiB) Viewed 37455 times
x = (-(-5) ± ?((-5)
2 - 4x1x4)) / 2x1
x = (5 ± ?(25 - 16)) / 2
x = (5 ± ?(9)) / 2
x = (5 ± 3) / 2
x = 8/2 OR x = 2 / 2
x = 4 OR x = 1
From EQ1,
y = 1 if x = 4 OR y = 4 if x = 1
In other words, the two possible elements are (4, 1), (1, 4)
? C = A ? B = {(4, 1), (1, 4)}
In this way you can solve any type of similar question. Just simple Algebra.